当前位置:首页 > 资讯 > 茶资讯> 正文

FSHW茶多酚化学的最新进展和展望

2022-04-23 05:47:22热度:104°C

Highlights

茶叶中新发现的黄酮类生物碱化合物综述

茶叶加工中黄酮类生物碱形成的机理

茶多酚和活性羰基物质间形成的产物,防止晚期糖基化终产物的形成

胺化茶多酚代谢产物的体内抗糖化作用及其假定结构

进一步确认RCS和茶多酚及其代谢物之间形成的加合物结构是有必要的

Introduction

根据发酵程度,茶的种类包括未发酵的绿茶白茶(含两片嫩叶的茶芽)、黄茶(氧化酶的缓慢变性)、部分发酵的乌龙茶、完全发酵的红茶和后发酵的黑茶。经过几十年的研究,许多茶叶植物化学物质被发现并与茶叶的味道和营养相关,包括氨基酸、丰富的多酚、茶氨酸、咖啡因、多糖和精油等。与其他植物一样,茶的多分子组成是其独特风味和营养的原因。每个茶类中的特征性多酚都已被鉴定和表征,包括绿茶、白茶、黄茶和其他茶中的儿茶素,乌龙茶中的茶氨酸,以及红茶中的茶黄素、茶红素和茶棕素(图1)。这些茶多酚对茶叶的感官和健康促进特性有显著贡献,这明确证明了茶多酚化合物是茶叶中最关键的成分之一。最近,在尖端技术的帮助下,从各种茶叶中分离出一系列新的黄生物碱化合物(类黄酮生物碱),并对其口感和生物学特性进行了评估。一个代表性的例子是N-乙基-2-吡咯烷酮取代的黄烷-3-醇,也称为黄生物碱,来自茶叶来源和茶叶加工。一个新时代的黑茶研究已经在收获后的微生物过程和一定程度的过程中产生了相同或相似的黄酮类生物碱化合物。此外,一些关于茶多酚与模型生物系统之间相互作用的研究已经确定了茶多酚的活性羰基物种(RCS)捕获活性。这些相互作用导致了以6-和8-取代黄烷-3-酚为特征的新型多酚衍生物的产生,例如,茶多酚(–)-表没食子儿茶素-3-没食子酸酯(EGCG)和甲基乙二醛(主要RCS之一)之间的相互作用。在这篇综述中,黄冈师范学院李士明教授*和美国罗格斯大学Ho Chitang*等介绍了茶叶化学的最新进展,主要集中在新的羰基儿茶素反应和从茶叶中分离出的新的黄烷-3-醇结合物。然后,讨论与茶叶相关的化学方面近期的研究,特别是作为茶叶标记物的新添加的多酚结合物,以及在健康相关研究中茶叶生物功能性的生物标记物。

图1 茶多酚的代表性结构

Results and discussion

茶叶中黄酮类生物碱的形成

如图1所示,有4 种主要的茶儿茶素,即(−)-表儿茶素(EC),(−)-表没食子儿茶素(EGC),(−)-表儿茶素没食子酸酯(ECG)和EGCG。除了完全发酵的普洱茶和后发酵的黑茶外,在大多数种类的茶中,EGCG是最丰富的儿茶素,其次是ECG、EGC和EC。L-茶氨酸也称为N5-乙基-L-谷氨酰胺,被认为是一种非蛋白质氨基酸和茶叶的特征成分,约占茶叶中游离氨基酸总量的一半。L-茶氨酸类似于谷氨酸的结构,谷氨酸是一种重要的神经递质,可以穿过血脑屏障,在中枢神经系统中发挥重要作用,如压力管理、焦虑缓解和抗抑郁。在茶叶加工过程中,观察到L-茶氨酸的含量仅在枯萎阶段就持续下降一半以上,而咖啡因和其他氨基酸的含量则在增加。如图2所示,可以假设详细的机理始于儿茶素(1)氧化生成1,2-二羰基醌(2),然后被L-茶氨酸的α-氨基攻击,在儿茶素醌和L-茶氨酸之间形成亚氨基连接的复合物(3)。生成的复合物经过Strecker降解生成L-茶氨酸衍生的醛,该醛在游离醛和环化N-乙基-5-羟基-2-吡咯烷酮(4)之间处于平衡状态。随后,L-茶氨酸衍生的醛和儿茶素在儿茶素的6-和8-位置进行亲核加成,产生6-和8-取代儿茶素(5和6),其将经历分子内脱水以形成6-和8-N-乙基-2-吡咯烷酮-黄酮(7和8)。

图2  绿茶采后形成黄生物碱的机理

茶多酚与活性羰基化合物的加成反应

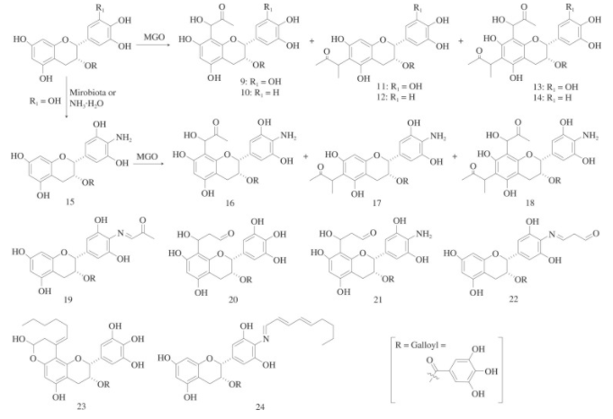
茶多酚的强抗氧化活性是由于其富含电子的共轭体系和提供电子的酚基团。同样,它们是强亲核物质,可以攻击缺电子RCS形成加合物,使茶多酚成为有效的RCS清除剂。在过去的几十年里,茶多酚捕获RCS的机制已经被阐明。儿茶素和茶黄素对MGO都表现出非常有效的清除活性,茶的主要儿茶素EGCG与MGO的加合物的特征是8-MGO-取代EGCG(9)、6-MGO-取代EGCG(11)或6,8-二MGO-取代EGCG(13)(图3)。轻度碱性条件有利于MGO与EGCG形成单MGO加合物和双MGO加合物。除EGCG外,其他儿茶素也具有清除RCS的作用。在牛血清白蛋白(BSA)和果糖的模型系统中,ECG成功地抑制了蛋白质的羰基化,并抑制了AGEs的形成。

图3  茶儿茶素和代谢物与氧化镁、丙二醛和反式-4-羟基-2-壬醛形成的加合物的化学结构

红茶中的茶黄素也被发现具有捕镁活性,但直到去年才提出加合物结构。根据MS/MS分析,发现了3 种单MGO取代的茶黄素。添加位置分配给茶黄素部分(26,27)的A环(图4),但MGO和两个A环的C-6或C-8位置之一之间的精确联系尚未确定。这需要通过NMR分析进一步分离和表征茶黄素的MGO糖基化加合物,以确定这些加合物的结构。通过MS/MS和NMR分析,CD-1小鼠红茶茶黄素的代谢物被鉴定为单胺化茶黄素(28)(图4),其中茶黄素部分B环(苯并酮核心)上的8′-OH被氨基取代。单胺化茶黄素的氧化镁清除活性与茶黄素相似。4 种MGO加合物(29,30)是基于MS/MS鉴定的,但这些结构仍有待于NMR分析确认。

 图4  茶黄素和氧化镁的结构,氨基茶黄素和茶黄素与氧化镁的加合物

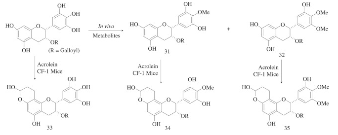
茶多酚的捕获目标不仅限于GO和MGO等RCS。一般来说,参与亲核反应的强烈倾向是富含电子的多酚的本质。除了GO和MGO之外,茶多酚及其代谢产物还可以清除与人类健康有关的其他电子缺陷剂。最近,EGCG及其体内代谢产物在体外和体内都能捕获丙烯醛。如MS/MS所示,EGCG对丙烯醛的体内捕获导致与另一个吡喃环形成加合物,该吡喃环与A环苯(33)(图5)融合,同时需要NMR确认。有趣的是,EGCG的甲基化代谢产物(31,32)(图5)也通过同样的途径清除小鼠体内的内源性丙烯醛,产生甲基化EGCG的苯并吡喃加合物(34,35)(图5)。因此,摄入EGCG可以通过直接捕获或通过其甲基化代谢产物清除内源性丙烯醛。

图5  EGCG及其体内代谢产物捕获丙烯醛

Conclusion

总之,近年来对茶化学的了解有了很大的进步。由于茶多酚捕获RCS,黄生物碱作为茶和类黄酮化合物中的一类新化合物的发现,推动了茶研究的新时代。然而,关于鲜茶叶和加工过程中形成黄生物碱的途径、这些新发现的茶叶化合物的生物功能作用以及控制黄生物碱形成的方法,人们提出了更多的问题。探索茶多酚捕获RCS的挑战包括加合物的表征和阐明产品形成的机制,尤其是茶多酚在新鲜茶叶和茶叶加工过程中抑制年龄形成,以避免年龄消耗。应进行更多的体内研究甚至人类临床试验,以证明茶多酚在清除RCS和预防疾病方面的功效。

Focusing on the recent progress of tea polyphenol chemistry and perspectives

Shiming Lia,*, Liang Zhangb, Xiaochun Wanb, Jianfeng Zhana, Chi-Tang Hoc,*

a Hubei Key Laboratory of EFGIR, Huanggang Normal University, Huanggang , China

b State Key Laboratory of Tea Plant Biology and Utilization, School of Tea & Food Science, Anhui Agricultural University, Hefei , China

c Department of Food Science, Rutgers University, NJ 08901, USA

*Corresponding author.

E-mail address: shiming@rutgers.edu; ctho@sebs.rutgers.edu

Abstract

Myriad evidence attests to the health-promoting benefits of tea drinking. While there are multiple factors of tea influencing the effective biological properties, tea polyphenols are the most significant and valuable components. The chemical characterization and physical characteristics of tea polyphenols have been comprehensively studied over the previous years. Still the emergence of new chemistry in tea, particularly the property of scavenging reactive carbonyl species (RCS) and the newly discovered flavoalkaloid compounds, has drawn increasing attention. In this review, we summarize recent findings of a new class of compounds in tea - flavonoid alkaloids (flavoalkaloids), which exist in fresh tea leaves and can be generated during the process of post-harvesting, and also postulate the formation mechanism of flavoalkaloids between catechins and theanine-derived Strecker aldehyde. Additionally, we detail the up-to-date research results of tea polyphenols regarding their ability to trap RCS and their in vivo aminated metabolites to suppress advanced glycation ends products (AGEs). We further raise questions to be addressed in the near future, including the synthetic pathways for the generation of flavoalkaloids and AGEs in fresh tea leaves before processing and the concentrations of tea polyphenols that affect their RCS scavenging capability due to their pro-oxidant nature. More intensive research is warranted to elucidate the mechanisms of action underlying the biological activity of flavoalkaloids and the pharmacological application of tea polyphenols in scavenging RCS and impeding detrimental AGEs.

Reference:

LI S M, ZHANG L, WAN X C, et al. Focusing on the recent progress of tea polyphenol chemistry and perspectives[J]. Food Science and Human Wellness, 2022, 11(3): 437-444. DOI:10.1016/j.fshw.2021.12.033.

或点击下方阅读原文查看文章

编辑:王佳红;责任编辑:张睿梅

封面图片来源:图虫创意

往期精彩

FSHW | 不同加工方式对榛子油脂质组成的影响:一项脂质组学分析

FSHW | waaf基因缺失对副溶血弧菌O抗原合成和致病性的影响

FSHW | 基于营养和感官综合评价67份东北野生软枣猕猴桃种质资源

FSHW | 转录组分析揭示了鸡绒毛膜尿囊膜的钙转运机制

FSHW | 玫瑰花中黄酮类成分抑制人肝癌HepG2细胞增殖和转移

FSHW | 不同干燥方法对两种杨梅果肉提取物酚类成分及体外降糖活性评价

FSHW | 虫白蜡及其高级烷醇的急性毒性和染色体畸变毒性

FSHW | 乳清蛋白水解物的肽组分析及其抗氧化肽的预测

FSHW | 接种混合发酵剂:提升川味香肠品质及食用安全性

FSHW | 环丙沙星胁迫对植物乳杆菌DNZ-4的关键酶和细胞内代谢产物的影响

FSHW | 植物乳杆菌A3混合培养对益生菌酸奶的评价

FSHW | 从蛋白质组学层面揭示TG-、EE-和PL-型油脂对高脂饮食小鼠的影响

FSHW | 不同地椒草添加量对羊肉汤风味品质的影响

为进一步促进动物源食品科学的发展,带动产业的技术创新,更好的保障人类身体健康和提高生活品质,北京食品科学研究院和中国食品杂志社在宁波和西宁成功召开前两届“动物源食品科学与人类健康国际研讨会”的基础上,将与郑州轻工业大学、河南农业大学、河南工业大学、河南科技学院、许昌学院于2022年5月7-8日在河南郑州共同举办“2022年动物源食品科学与人类健康国际研讨会”。欢迎相关专家、学者、企业家参加此次国际研讨会。

长按或扫码报名北京食品科学研究院和中国食品杂志社《食品科学》杂志、《Food Science and Human Wellness》杂志、《Journal of Future Foods》杂志将与江苏南京国家农业高新技术产业示范区、国际谷物科技协会(ICC)、南京农业大学、南京财经大学、江苏省农业科学院、徐州工程学院、东南大学营养与食品卫生系共同于2022年8月6-7日在南京举办“第十一届食品科学国际年会”,会议同期将举办“第六届中国食品产业产学研创新发展高峰论坛”和“第五届中国食品科技成果展”。在此,我们诚挚的邀请您出席本次国际论坛。

长按或扫码报名

相关文章

SQL Error: select id,classid,MATCH(title) AGAINST('FSHW 18722264 22642351 23512715 27154907 49072136 21365578 55784834 48342988 29885325' IN BOOLEAN MODE) as jhc from ***_enewssearchall where (id<>346302) and MATCH(title) AGAINST('FSHW 18722264 22642351 23512715 27154907 49072136 21365578 55784834 48342988 29885325' IN BOOLEAN MODE) order by jhc desc,infotime desc limit 0, 6