当前位置:首页 > 资讯 > 茶资讯> 正文

吃不起茶叶蛋那就来颗糖心卤蛋呗

2022-03-31 03:49:50热度:105°C

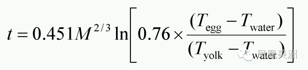
 点击上方“凤凰美洲”可以订阅哦!茶叶蛋是记忆里的味道。嗅着茶叶的香,敲碎的蛋壳连着一层薄膜被轻易的剥开,储存在蛋白与蛋壳之间的卤汁顺着手指流下来,眼前便出现了一枚有着漂亮花纹的茶叶蛋。厨房里、早餐店、喧嚣小巷里的小摊贩上,茶叶蛋就这样深深浅浅的住进了每一个人的记忆里。然而,茶叶蛋是奢侈品啊!(咦,不是厨房台面上能找到么?)成千上万块钱一颗啊!(早餐店里不是放在瓷缸里自己拿么?。。)独享尊华、一颗永流传啊!(喧嚣小巷里的小摊贩上。。。)美食新煮意“上传视频参与更多互动, 请长按二维码”吃不起茶叶蛋怎么办?冥冥之中,在一次说走就走的日本旅途中(就是这么豪),小编在一家连锁便利店内(说好的豪呢?)找到了比起贵重的茶叶蛋显得亲民多了的替代品,那就是糖心卤蛋。糖心蛋估计不少人都吃过。做起来那叫一个简单。只要遵循下图所示的由埃克塞特大学物理系讲师查尔斯·威廉姆斯博士(Charles D. H. Williams)提供的基于质量的“终极煮蛋公式”,就能煮出一颗颗完美的糖心蛋:如果没有条件精确称出鸡蛋的质量,丹麦哥本哈根大学分子料理学教授彼得·巴汉姆(Peter Barham)在其著作《烹饪的科学》的科学中还给出了一个基于鸡蛋周长的公式(这里的周长指的是鸡蛋最粗处的周长),用细线和直尺就能量出来:你说你一介学渣看不懂这公式?没关系,小编贴心的为你把这公式转换成了“糖心蛋for Dummies”版本:1.锅里的水煮沸2.保持室温的生鸡蛋放入沸水煮5-6分钟3.从沸水里将鸡蛋取出后放入冰水里迅速降温3分钟那糖心卤蛋的“卤”呢?别急,接着往下看:1. 将蛋壳轻轻敲碎2. 放入冷卤汁内浸泡12小时即可!(奏是介么简单)在明年的七夕情人节里:喜欢她,就送她一束热烈的红玫瑰;爱她,就送她一颗高贵不贵的糖心卤蛋吧!凤凰美洲 ID:PSTV_US时事 | 法律 | 留学 | 居家  | 旅游 | 美食 | 分享

相关文章

SQL Error: select id,classid,MATCH(title) AGAINST('19521827 18273880 38801872 18725022 50222116 21163639 36393045 30453220 32203137 31374439 44394836' IN BOOLEAN MODE) as jhc from ***_enewssearchall where (id<>317151) and MATCH(title) AGAINST('19521827 18273880 38801872 18725022 50222116 21163639 36393045 30453220 32203137 31374439 44394836' IN BOOLEAN MODE) order by jhc desc,infotime desc limit 0, 6